Skip to content

Tensorflow 介绍

  • 由 Google 开发的端到端机器学习开源平台
  • 可伸缩性 & 可延展性
  • 分布式训练
  • API 等级
    • 低层级 API: Tensorflow Core
    • 高层级 API: tf.contribKeras

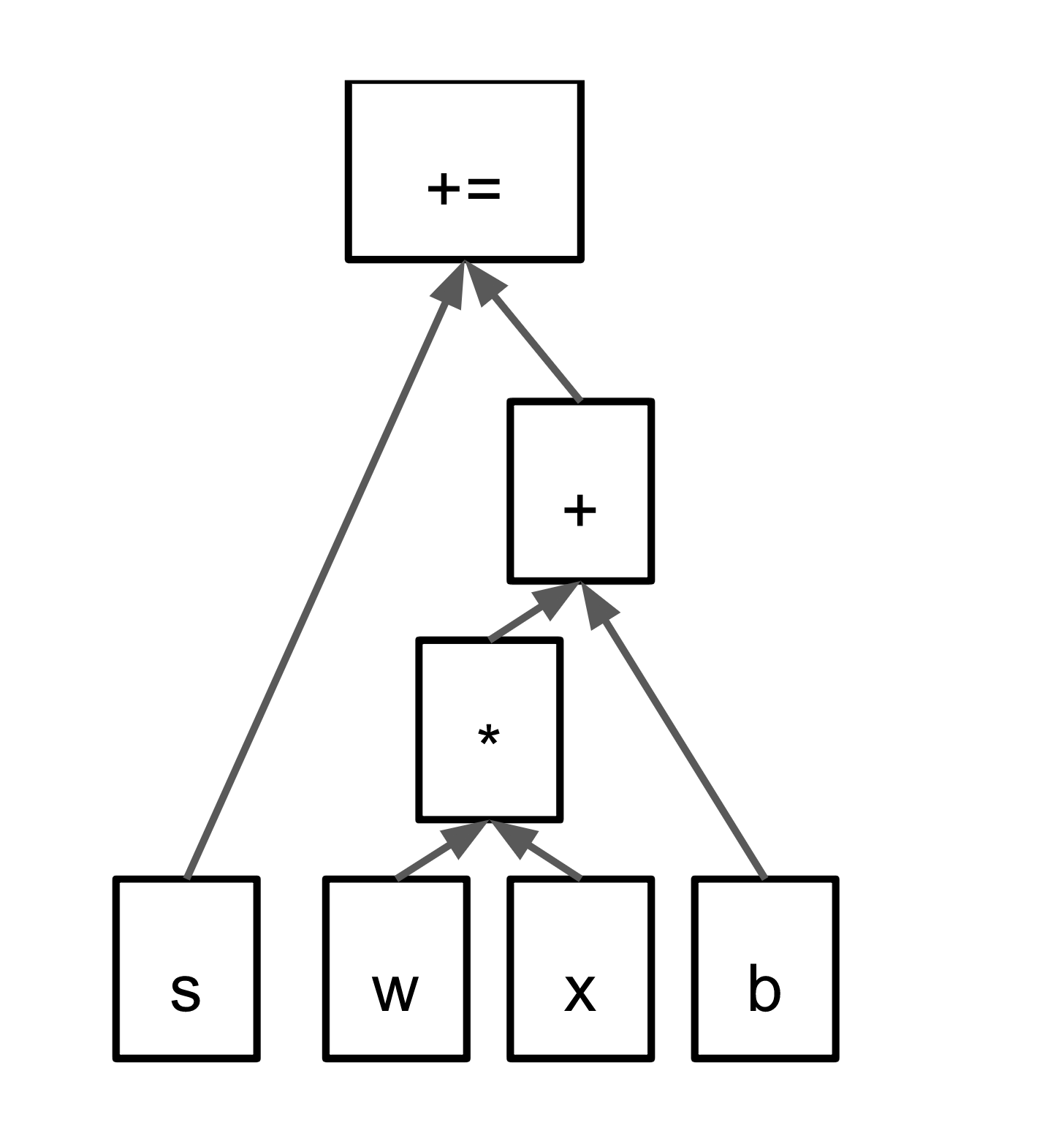
计算图

  • Tensor(张量) 是 Tensorflow 中的主要单元。

Untitled

  • 结点表示运算符 (加减乘除、sigmoid、ReLU…)

  • 边表示tensor

  • 静态计算图 & 动态计算图

    • 静态计算图 (tf.Session → tf.function)

      在过去,Tensorflow 将计算图构建和 runtime 喂送资料的过程分开来,而这样的设计便是使用 tf.Session 来处理所有数据的流向。 然而,在 2.0 为了能更简化使用者介面,就是让 tf.Session 有如使用 python 一般直觉,那就是以 tf.function 取代。

    • 2.0 中默认采用动态计算图 Eager execution

      Eager Execution 无需先构建计算图,然后再在 tf.Session 里评估它。它允许用 python 语句控制模型的结构。 它拥有更加直观的界面,以及更自然的流程控制。

分层模块架构

Untitled

Client


  • 用户编写 TensorFlow 程序来构建计算图
  • 支持多种编程语言 (优先支持 Python & C++)
    • Swig 依赖库:将 C++语言包装成可以支持多种编程语言
  • Client 创建一个 session,将图定义为 tf.GraphDef,并以 protocal buffer 的形式传送至Distributed Master

处理架构

处理架构

  • 一个 worker 表示一个计算任务(进程)
  • “PS” 表示Parameter Server,作用为存储及更新模型中的参数。

计算图2

计算图 2

Distributed Master & Work Service


  • 只有分布式 Tensorflow存在这两个模块
  • 核心:图的分裂
  • Distributed Master
    • 将计算图剪枝得到最小依赖子图
    • 再将子图分裂成多个Partition,分配在多个 worker 上。
    • Distributed Master 会在 worker 之间插入SENDRECV结点。
  • Work Services (一个 worker 当中有一个)
    • worker 中二次分裂 Partition
    • 根据**kernel implementations,**选择应该把每个 Partition 放在哪个最适合的硬件当中执行 计算图 with Work Service in each task (根据kernel层选择子图应放置到哪一个hardware) 计算图 with Work Service in each task (根据 kernel 层选择子图应放置到哪一个 hardware)
    • Work Service 会将 kernel operators 分发到多个本地设备,并在允许时并行运行 kernels
    • 设备之间通信:
      • CPU 和 GPU 之间:cudaMemcpyAsync() API
      • GPU 和 GPU 之间:peer-to-peer DMA
    • worker 之间通信:
      • gRPC over TCP
      • RDMA over Converged Ethernet

Dataflow Executor


  • 执行优化过的数据流图

Kernel Implementations


  • 包含超过 200 种的操作函数,包括:
    • 张量运算
    • 控制流
    • 状态管理
  • 为不同设备进行相应地优化
  • 使用的库:
    • cuDNN:更高效地使用 kernels
    • quantization:针对移动端提升运算效能
    • gemmlowp:低精度的矩阵库

Device Layer & Networking Layer


  • Device layer 与各种不同的硬件沟通,如 CPU、GPU、TPU。
  • Networking layer 使用不同网络协议去跟分布计算机交互。

逻辑架构

逻辑架构

逻辑架构

训练

  • tf.data:加载训练用的原始数据
  • tf.keras:构建、训练和验证模型
  • Eager Execution:运行和调试
  • Distribution Strategy:进行分布式训练
  • SavedModel:保存导出的训练模型,并且将训练模型标准化输出

Extras

可视化

  • TensorBoard 用于 TensorFlow 可视化

模型仓库

  • TensorFlow Hub 用于保存训练好的 TensorFlow 模型,供推理或重新训练使用

Tensorflow 2.0

  • 移除queue runners输入数据方式,改用tf.data
  • 在过去 1.x 的时代,tf.Variable的状态是由 tf.Graph的 graph collection 来管理,而其生命周期则由 tf.Session管理。如今,在 2.0 graph collection 被移除掉后,tf.Variable会被当成一般 Python 物件处理。

Last updated: